Artikel Terbaru

Detail Berita

Informasi terkini dan terpercaya untuk masyarakat

Pengumuman: Hasil Seleksi Petugas KPPS Pemilihan Kuwu Sukajati Tahun 2025 Resmi Ditetapkan

Pengumuman: Hasil Seleksi Petugas KPPS Pemilihan Kuwu Sukajati Tahun 2025 Resmi Ditetapkan

Galeri Foto

Gallery Image
Gallery Image
Gallery Image
Gallery Image

Sukajati – 10 November 2025.
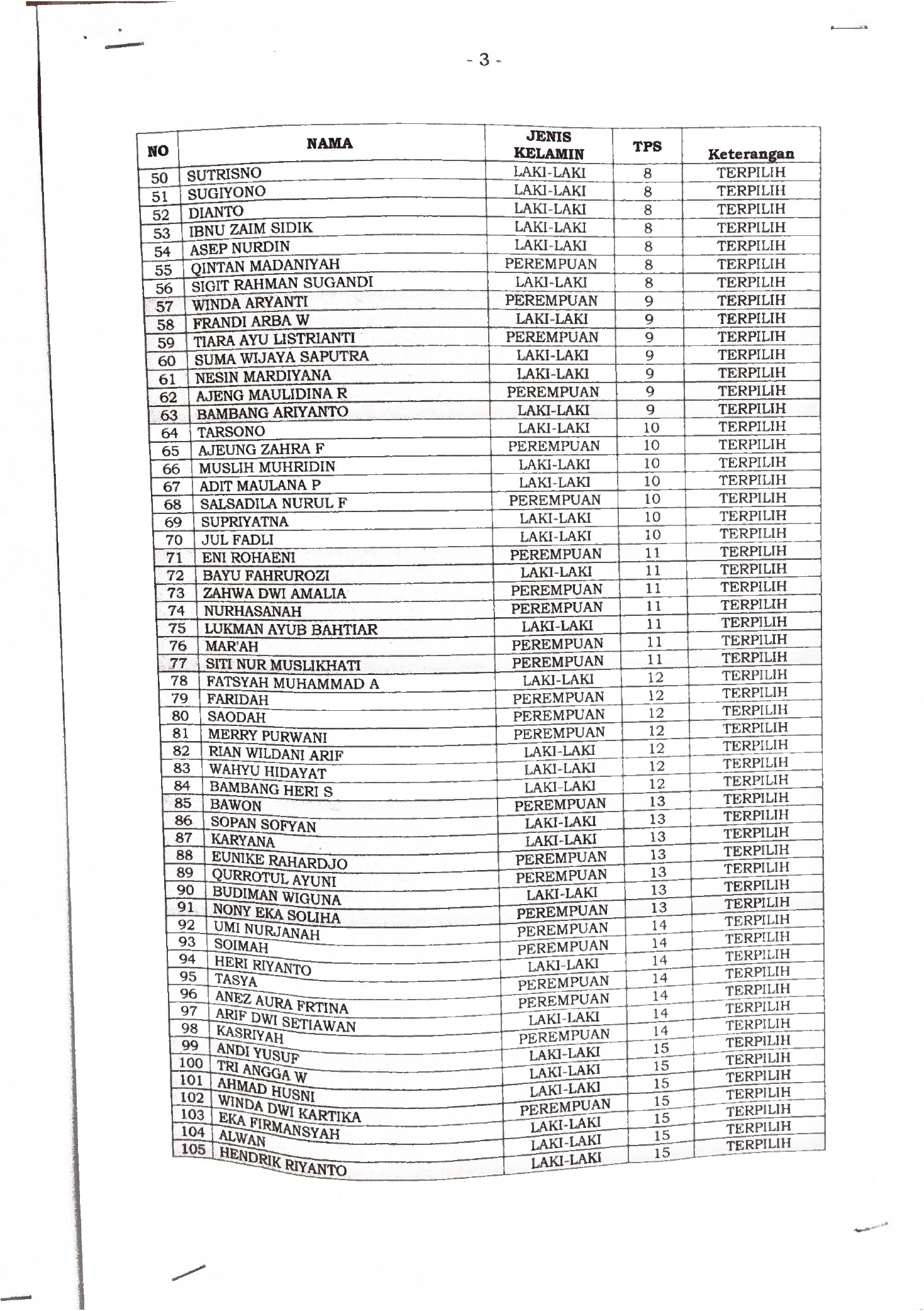
Panitia Pemilihan Kuwu (Pilwu) Desa Sukajati secara resmi mengumumkan daftar nama Petugas Kelompok Penyelenggara Pemungutan Suara (KPPS) terpilih untuk Pemilihan Kuwu Serentak Tahun 2025.

Proses seleksi dilaksanakan sesuai ketentuan perundangan dan pedoman teknis pemilihan kuwu, dengan memastikan bahwa seluruh calon petugas memenuhi persyaratan administrasi, kompetensi, serta komitmen netralitas.

Total 119 orang telah dinyatakan lolos dan ditetapkan sebagai Petugas KPPS, ditambah 7 orang calon pengganti antar waktu. Penetapan ini dituangkan dalam Lampiran Pengumuman Nomor 040/Pilwu.Ds.2009/2025 tanggal 10 November 2025.

Ketua Panitia Pilwu Desa Sukajati, Dwi Hartono, S.Pd., menyampaikan bahwa proses seleksi dilakukan secara objektif dan transparan demi memastikan kualitas penyelenggaraan pemungutan suara di setiap Tempat Pemungutan Suara (TPS).

“KPPS adalah garda terdepan dalam memastikan proses pemungutan suara berjalan tertib, jujur, dan sesuai prosedur. Kami berterima kasih kepada seluruh pendaftar yang telah berpartisipasi dan mengucapkan selamat kepada peserta yang terpilih,” ujar beliau.

Dengan ditetapkannya petugas KPPS, Panitia Pilwu Sukajati kini memasuki tahap pemantapan teknis pelatihan KPPS dan persiapan logistik pemungutan suara. Warga Sukajati diimbau untuk terus mengikuti informasi resmi melalui Website Desa dan papan informasi desa.

Untuk melihat daftar lengkap nama Petugas KPPS terpilih, warga dapat mengakses Lampiran Pengumuman yang sudah tersedia pada halaman ini.

Lampiran Pengumuman : Klik Disni

Absensi
Buku Tamu
Pengaduan